Mann Whitney u testi, bağımsız örneklem t testinin parametrik dağılmadığı durumda yaygın olarak kullanılan bir analiz yöntemidir. Bu testte varyansların homojen olması, örneklem büyüklüğünün fazla olması ya da verilerin normal dağılım sergilemesi beklenmez. Mann Whitney u testinin bir diğer özelliği ise gözlem değerlerine atanan büyüklük sıra sayılarına dayalı olmasıdır. Mann Whitney u testi hipotezi,
HO: µ=µO olurken;
Alternatif hipotez test çift taraflı olacaksa,
H1: µ≠µO
Test tek taraf olacaksa,
H1: µ<µO veya
H1: µ>µO biçiminde oluşturulur.
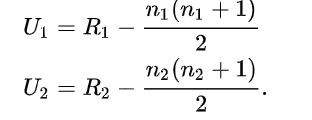
Mann Whitney u testi, iki farklı şekilde gözlem sayısına göre hesaplama yapılabilmektedir. Buna göre Z ya da U kritik değerlere göre yorumlanabilmektedir. Mann Whitney u testi formülü

Mann Whitney u Testi Spss Uygulaması
İleri matematik dersi alan öğrencilerin cinsiyetlerine göre vize puanlarının farklı olduğu düşünülmektedir. Buna göre rastgele seçilen 22 öğrencinin cinsiyetlerine göre vize puan ortalamalarında farklılık olup olmadığını test edeceğiz.
Öncelikle hipotezlerimizi oluşturalım;
HO: Cinsiyetlerine göre vize puan ortalamalarında farklılık yoktur.
H1: Cinsiyetlerine göre vize puan ortalamalarında farklılık vardır.
Mann Whitney u testi Spss uygulamasında aşağıda yer alan sıralamayı izleyeceksiniz;
Analyze>Non parametric tests> Legacy Dialogs>2 Independent Samples

“Test Variables List” kısmına vize puanı aktarılır.” Grouping variable” kısmına cinsiyet aktarılır. “Define Groups” kısmına ise kodlarımız yazılır. “Test Type” kısmında ise “Mann Whitney u” testinin işaretli olup olmadığına dikkat etmelisiniz.


Mann Whitney u Testi Yorumlama
Mann Whitney u testi yorumlama amacıyla Spss çıktısını aşağıda görmekteyiz.

Sıra toplamları incelendiğinde kadınların 101 ve erkeklerin 151’dir. Ortalamaları ise kadınların 10 erkeklerin 13’tür. Mann Whitney u test istatistiği 46,5 olarak bulunmuştur. p=0,371>0,05 olduğundan HO kabul edilmiştir. Buna göre öğrencilerin cinsiyetlerine göre ileri matematik dersinin vize puan ortalamalarında anlamlı farklılık yoktur.